大東海泵業無錫有限公司
銷售總部:江蘇無錫新吳區長江路21-1號創源大廈309
生產基地:無錫市東港鎮
銷售熱線:0510-82108358
銷售熱線:0510-82116911
聯系電話:13395114288
QQ: 2634113519


大東海泵業無錫有限公司
銷售總部:江蘇無錫新吳區長江路21-1號創源大廈309
生產基地:無錫市東港鎮
銷售熱線:0510-82108358
銷售熱線:0510-82116911
聯系電話:13395114288
QQ: 2634113519


管道離心泵的汽蝕余量和有效汽蝕余量是如何計算的?其計算過程如下:
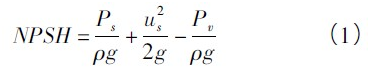
1、管道離心泵的汽蝕余量NPSH
管道離心泵吸入口處單位質量的液體超出液體汽化壓力的富余能量(以m液柱計),稱汽蝕余量。其值等于從基準面算起管道離心泵吸入口的總吸入壓力減去該液體的汽化壓力(絕壓,以m液柱計),即:
式中Ps管道離心泵吸入口壓力,Pa
Pv液體在該溫度下的汽化壓力,Pa
us泵吸入口平均流速,m/s
液體密度,kg /m3
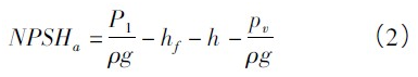
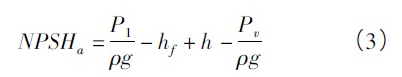
2、管道離心泵的有效汽蝕余量NPSHa
有效汽蝕余量(NPSHa),也即裝置汽蝕余量,是指管道離心泵所在裝置(或系統管路)所具有的汽蝕余量,其大小由吸入管路系統參數、安裝高度和管路中流量等決定的,與泵的結構無關。該參數越大,離心泵越不容易汽蝕。式(1) 經轉化可求出吸上或倒灌條件下的裝置汽蝕余量。
對上吸裝置:
對倒灌裝置:
式中P1吸入液面壓力,Pa
hf離心泵吸入管道阻力損失,Pa
h吸入幾何高度,m
3、必需汽蝕余量NPSHr
必需汽蝕余量由離心泵制造廠根據試驗或模型換算確定的汽蝕余量。其值與泵的結構尺寸有關。該參數越小越好,參數小泵越不容易汽蝕。
我們認為:選型時,離心泵須滿足下述條件:NPSHa - NPSHr 0.5m,對易汽化的介質須滿足NPSHa - NPSHr 0.8m;當NPSHa - NPSHr 1m時,離心泵出廠必須做汽蝕性能試驗,以確認泵滿足選型要求。
非常感謝您對大東海泵業官方網站的訪問!以上是關于管道離心泵的汽蝕余量和有效汽蝕余量是如何計算的介紹,如您對此問題還想深一步了解,或有其他泵類產品的問題需要解答,請聯系我們,我公司還生產潛水泵,隨時歡迎您的咨詢。謝謝!